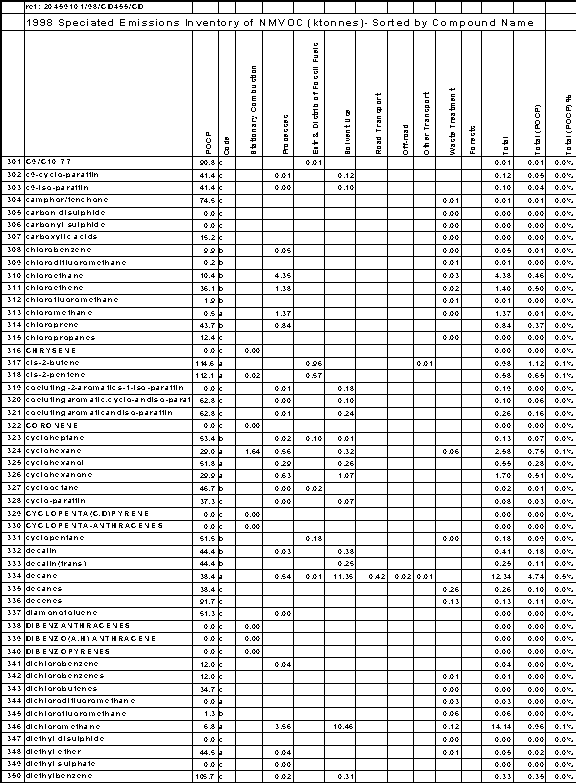
National Atmospheric Emissions Inventory

Tabulated Emissions of NMVOC by Species